2,5-Diaminotoluene Sulfate
Product Name: 2,5-Diaminotoluene Sulfate
CAS NO: 615-50-9

| Item |
Content |
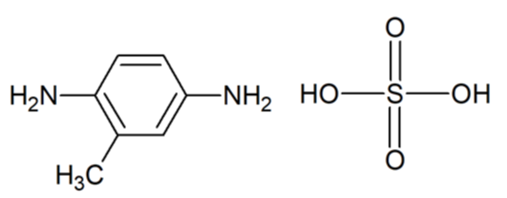
| Molecular Formula |
C7H10N2 . H2O4S |
| Synonyms |
Toluene-2,5-Diamine Sulfate; 2-Methyl-1,4-Benzenediamine Sulfate; p-Toluenediamine Sulfate
|
| Structural Formula |
 |
| EINECS No. |
210-431-8 |
| Appearance |
off-white to pink powder |
| Applications |
Hair Dyes: Its primary application is as a primary intermediate or developer in oxidative permanent hair colorants. It reacts with other compounds to create a wide range of shades, particularly browns, blondes, and black.
Textile and Fur Dyes: It is also used in the manufacturing of dyes for various materials, including textiles and furs.
|
| Package |
Drum |